Signup for our newsletter to get notified about sales and new products. Add any text here or remove it.
Chưa có sản phẩm trong giỏ hàng.
Hiển thị 49–60 của 1062 kết quả
Muối
3,5-Dichloro-2-hydroxybenzenesulfonic acid sodium salt for synthesis 5 g Merck
4-(Hydroxymercuri)benzoic acid sodium salt for synthesis Merck
4-Chlorophenylacetyl chloride 96%, 100g Acros
4-Chlorophenylacetyl chloride 96%, 25g Acros
4-Chlorophenylacetyl chloride 96%,5g Acros
4-Methoxybenzenesulfonyl Chloride 99%, 100g Acros
4-Methoxybenzenesulfonyl Chloride 99%, 25g Acros
4-Methoxybenzenesulfonyl Chloride 99%, 500g Acros
4,4'-Isopropylidenediphenol (Bisphenol A) GRM2273-500G Himedia
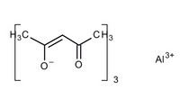
Aluminium acetylacetonate for synthesis 250g Merck
Aluminium nitrate nonahydr EMPLURA® 1kg Merck
Aluminium nitrate nonahydrate EMPLURA® 50kg Merck
Tên tài khoản hoặc địa chỉ email *
Mật khẩu *
Ghi nhớ mật khẩu Đăng nhập
Quên mật khẩu?